新詩數位化(二)
接續上一篇的數位歸檔,這次我收的新詩幾乎都跟客家有關,而且都是自創的客語童謠。回頭讀這些國小文字,有幾個地方讓我自己覺得很驚喜,值得從客家童謠的欣賞角度聊聊。
客家童謠有幾個很鮮明的特徵:趁韻(為了押韻而把不相干的事物串在一起)、連鎖(前句的尾接到後句的頭,像語文接龍)、問答體,以及大量的擬人和狀聲詞等等。有趣的是,這幾個特徵在我國小自創的童謠裡幾乎都出現了!


〈天公天公落水啊!〉用的是最典型的客家童謠起句方式,從天氣現象開頭,再一路串接下去。「雷公打雷真害怕,大風呼呼吹」,狀聲詞「呼呼」的使用非常直覺,而且整首的韻腳雖然不嚴謹,卻靠著句式的反覆(天空天空/天公天公)維持節奏感,這其實就是客家童謠裡常見的「趁韻」精神:不求完美押韻,但求唸起來順口、有律動。但我以前根本沒有發現這件事!

〈⋯⋯來⋯⋯去〉這首我從結構去觀察。標題本身就是一個填空的框架,底下兩段分別填入「飛來飛去」和「跑來跑去」,用相同的句式但不同的情境展開,我猜當時是排比的直覺應用。兩段的結尾都收在一個有點無奈的小場景(跑掉去看戲、哭到流鼻涕),「姊」和「戲」、「筆」和「涕」在客語發音裡其實是押韻的,這讓整首唸起來有一種收束的滿足感。

〈池塘〉的結尾最讓我驚喜。二十年後讀下來最喜歡這邊的譬喻。「看到甜甜圈,蹼通,原來是水⋯⋯⋯。」小孩跳進池塘,水面產生的圓形漣漪被寫成「甜甜圈」,這個比喻放在現在來看還是蠻生動的。一個圓形的視覺聯想,從生活經驗裡直接抓出來,沒有刻意修飾,反而更有畫面。「蹼通」這個狀聲詞放在「甜甜圈」和「水」之間,節奏剛好是:靜止的畫面、一聲響、謎底揭曉。這其實是很成熟的敘事節奏,而狀聲詞的使用正是客家童謠最擅長的手法。我覺得越來越有老王賣瓜、自賣自誇的感覺⋯⋯。

〈水果〉用了擬人化的對話結構,每種水果各自宣稱自己的優勢,最後收在「我⋯⋯⋯,我是第一名」,刻意留白讓讀者自己填入。這個手法在國小階段不太常見,大部分小朋友會直接給出答案,但這裡選擇不說,反而讓整首多了一層趣味。這也呼應了客家童謠裡問答體的傳統:重點不在答案本身,而在問得巧、答得妙。

〈一本書〉是最接近傳統客家連鎖歌的一首。「一本書度有老鼠」、「一本書度有老虎」、「一本書度有小兔仔」,用同一個句式不斷接續,把完全不相干的事物串在一起,正是連鎖歌「靠著音韻的連鎖及連響,把互不相關的事物拉扯一塊而成歌」的典型手法。邏輯不重要,音韻的趣味才是主角。我真的要說,原來20年前我在創作這些新詩時,文字邏輯在腦袋就有慢慢建立,到今天反覆回味,還是很驚喜!
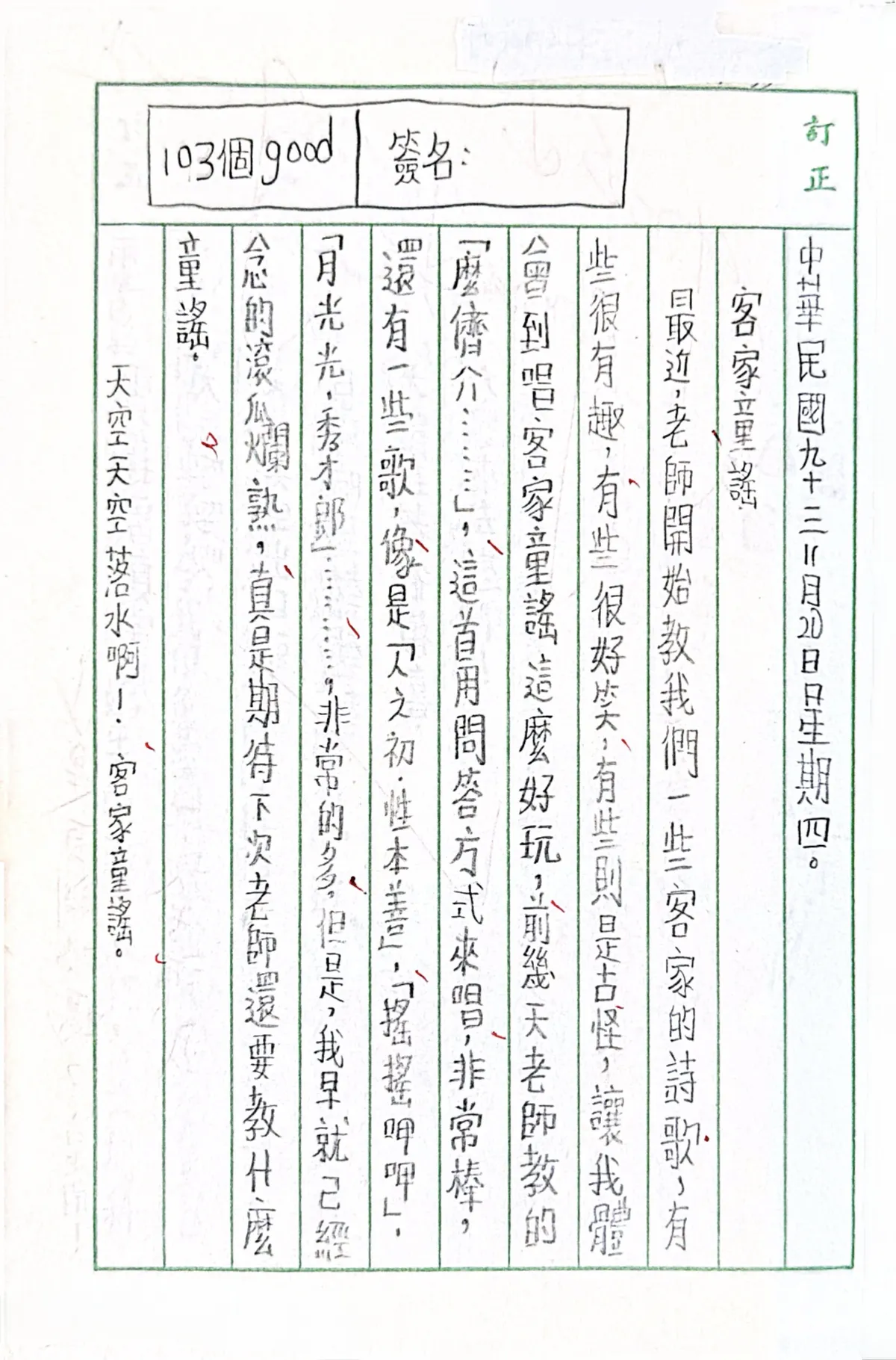
中華民國 93 年 11 月 20 日 星期四。
客家童謠
最近,老師開始教我們一些客家的詩歌,有些很有趣,有些很好笑,有些則是古怪,讓我體會到唱客家童謠這麼好玩,前幾天老師教的「麼儕介⋯⋯」,這首用問答方式來唱,非常棒,還有一些歌,像是「人之初,性本善」,「搖搖呷呷」,「月光光,秀才郎」⋯⋯,非常多,但是,我早就已經念得滾瓜爛熟,真的是期待下次老師還要教什麼童謠。
(自創客語童謠)
天公天公落水啊! 客家童謠。
雷公打雷真害怕,
大風呼呼吹,
天空天空出日頭,
日頭晒到熱熱熱,
大家玩都很歡喜,
大家來去旅遊啊!
中華民國 93 年 11 月 29 日 天氣:晴。
(自創)童詩
⋯⋯⋯來⋯⋯去 客家童謠
小鳥飛來飛去,
飛到山上找阿姊。
阿姊啊! 沒在呀!
跑掉廟裡去看戲。
小孩跑來跑去,
走到家裡去找筆,
一隻筆,
斷掉呀,
小孩哭到流鼻涕。
池塘 客家童謠
池塘裡
石頭,魚蝦多
小孩搞水都歡喜,
大風刮刮滾,
小心感冒呀!
大家來來去池塘聊,
看到甜甜圈,
蹼通,
原來是水⋯⋯⋯。
水果 客家童謠
西瓜講,我最壯,
草莓講,我最美,
木瓜講,我最高,
甘蔗講,我最瘦,
大家講來講去,
我⋯⋯⋯,
我是第一名。
中華民國 93 年 12 月 5 日 天氣:晴。
童詩
一本書 客家童謠
一本書度有老鼠,
今天30度,
一本書度有老虎,
茶壺放在火爐,
噴到廚房臭臭臭,
一本書度有小兔仔,
昨天天空黑黑黑。